D88EC7E8-E3FB-4F6D-A2CE-00F7A1C48C48@1x
Created with sketchtool.
svg/L1/icon/watch/arrow
Created with Sketch.
関連動画
svg/L1/icon/watch/arrow
Created with Sketch.
関連動画
0:00
00:00
/
12:08
D88EC7E8-E3FB-4F6D-A2CE-00F7A1C48C48@1x
Created with sketchtool.
ニコニコ動画で視聴
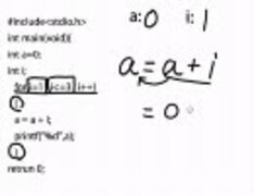
for文でつまづいた人たちへ プログラミングfor文解説
ニコニコ動画で視聴
ニコニコ動画講座
プログラミング
C言語
for
実況解説
ニコニコ動画講座
プログラミング
C言語
for
実況解説
ニコニコ動画で視聴する>
svg/L1/icon/watch/arrow
Created with Sketch.
もっと見る
svg/L1/icon/watch/arrow
Created with Sketch.
閉じる
共有
for文でつまづいた人たちへ プログラミングfor文解説
fb
line
https://nico.ms/sm6462663?ref=thumb_watch
リンクをコピー